0260-2781234
marketing@arihantanam.com
Home
About Us
Products
Quality Policy
Gallery
R&D
Equipments
Contact Us
Home
About Us
Products
Quality Policy
Gallery
R&D
Equipments
Contact Us
Products
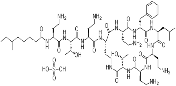
Polymyxin B Sulfate BP /USP
Polymyxin B Sulfate BP /USP
Molecular Formula
C
56
H
100
N
16
O
17
S
Molecular Weight
1301.571 g/mol
CAS No.
1405-20-5
Description
White to buff colored powder, is odourless or has a faint odour
Drug Category
Antibiotic