0260-2781234
marketing@arihantanam.com
Home
About Us
Products
Quality Policy
Gallery
R&D
Equipments
Contact Us
Home
About Us
Products
Quality Policy
Gallery
R&D
Equipments
Contact Us
Products
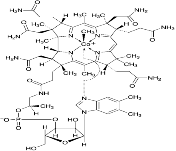
Mecobalamin J.P.
Mecobalamin J.P.
Molecular Formula
C
63
H
91
CoN
13
O
14
P
Molecular Weight
1344.38 g/mol
CAS No.
13422-55-4
Description
Mecobalamin occurs as dark red crystals or crystalline powder. It is affected by light
Drug Category
Vitamins