0260-2781234
marketing@arihantanam.com
Home
About Us
Products
Quality Policy
Gallery
R&D
Equipments
Contact Us
Home
About Us
Products
Quality Policy
Gallery
R&D
Equipments
Contact Us
Products
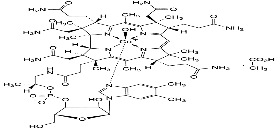
Hydroxocobalamin Sulfate BP/EP
Hydroxocobalamin Sulfate BP/EP
Molecular Formula
C
62
H
89
CoN
13
O
15
P
2
, H
2
SO
4
Molecular Weight
2791.0 g/mol
CAS No.
15671-27-9
Description
Dark red, crystalline powder or dark red crystals, very hygroscopic
Drug Category
Vitamins