0260-2781234
marketing@arihantanam.com
Home
About Us
Products
Quality Policy
Gallery
R&D
Equipments
Contact Us
Home
About Us
Products
Quality Policy
Gallery
R&D
Equipments
Contact Us
Products
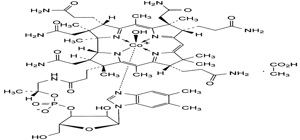
Hydroxocobalamin Acetate B.P
Hydroxocobalamin Acetate B.P
Molecular Formula
C
62
H
89
CoN
13
O
15
P ,C
2
H
4
O
2
Molecular Weight
1579.608 g/mol
CAS No.
13870-90-1
Description
Dark red, crystals or crystalline powder. It is affected by light
Drug Category
Vitamins