0260-2781234
marketing@arihantanam.com
Home
About Us
Products
Quality Policy
Gallery
R&D
Equipments
Contact Us
Home
About Us
Products
Quality Policy
Gallery
R&D
Equipments
Contact Us
Products
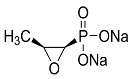
Fosfomycin Sodium EP
Fosfomycin Sodium EP
Molecular Formula
C
3
H
5
Na
2
O
4
P
Molecular Weight
182.02 g/mol
CAS No.
26016-99-9
Description
White or cream - coloured powder. Powder is hygroscopic
Drug Category
Antibiotic